Intro

Flammarion - L'atmosphère: météorologie populaire (1888) - Engraving
Flammarion C., L'Atmosphere: Météorologie Populaire (Paris, 1888), colorized

I am a postdoctoral researcher at the Department of Physics and Astronomy, University of Bologna. My interests revolve around observational cosmology and extragalactic astrophysics: gravitational waves, cosmic chronometers, galaxy formation and evolution.

Beyond the involvement with scientific research, I particularly enjoy communicating science to the wider public through outreach events. I am a member of Gapers Amateur Astronomers Group based in San Giovanni in Persiceto (BO), which I have been actively supporting since 2015.


Bio

I was born in 1996 in Renazzo, a small town between Ferrara and Bologna which is also the hometown of Ferruccio Lamborghini. On 15 January 1824 a meteorite fell and three stones with a total mass of ~ 10 kg were recovered. Due to its peculiar composition, it led to the definition of a new group of carbonaceous chondrites: Renazzo-type (CR).

In a nearby town, Cento, I attended the Scientific High School ISIT - Bassi Burgatti. Here I met Sandro Zannarini, professor of physics. It was thanks to him that my interest in astronomy exponentially grew. He persuaded me to participate in Italian Astronomy Olympiads and with his teachings I managed to reach the national stage. I also developed a strong passion for the most “hands-on” aspects of Astronomy and I decided to invest in the first proper telescope: Celestron CPC 800. Being unsuitable for astrophotography I used (and still use) it for outreach events.

Joining the Gruppo Astrofili Persicetani (amateur astronomer group in San Giovanni in Persiceto) marked the beginning of my outreach endeavors. I had the opportunity to deliver my first public outreach talks and organize stargazing nights. My primary focus has always been to bring the most updated news from astrophysics research, including, in particular, the open questions in cosmology. Here, the enthusiasm of Romano Serra helped me recognize the importance of outreach in inspiring the next generation of citizens and scientists.

Such website is part of my learning experience and therefore it is conceived as a work in progress, subject to continuous editing and open to any feedback that you may provide. Make sure to visit the G-Astronomy section!

Research

I work in the field of observational cosmology with expertise in gravitational waves and galaxy evolution. My research focuses on investigating the expansion history of the Universe with emerging probes. Currently, I am a postdoctoral researcher at the University of Bologna working with Michele Moresco. I am also part of the Einstein Telescope collaboration and Euclid consortium.



Gravitational-wave Cosmology new

Gravitational waves (GW) produced from compact binaries can be used as standard sirens, as they provide a direct measurement of the luminosity distance requiring no additional calibrations (Schutz, 1986). Unfortunately, determining redshift from current GW data alone is not possible because of its inherent degeneracy with binary masses, therefore external information is required to provide cosmological constraints.

Correlation of gravitational wave signal with galaxy catalog

In my research, I am exploring how this can be achieved using a statistical approach based on the cross-correlation of GW signals with galaxy catalogs. This method has a great potential with upcoming and future GW detectors and deep galaxy surveys, as it can map the luminosity-distance relation up to high redshift, z~2. In Borghi et al. (2024) we investigated the impact of galaxy redshift uncertainties in a joint cosmological and astrophysical inference of the BBH population simulated for LVK O4 and O5.

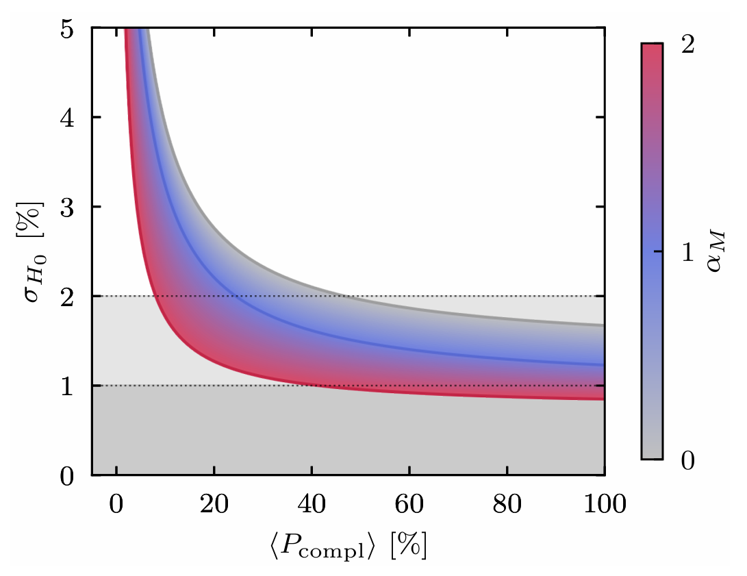
In Borghi et al. (2026), we study how galaxy catalog incompleteness and hosting probability affect the cosmological constraints. We find that complete catalogs could provide percent-level constraints on the Hubble constant that degrade following a sigmoid trend as completeness decreases. Remarkably, 2% precision remains achievable even when 50% of potential host galaxies are observed within the GW horizon, though this increases sensitivity to astrophysical population assumptions.

Precision on H0 as a function of average galaxy catalog completeness

We are currently extending the analysis to more realistic galaxy survey observing conditions.


Cosmic chronometers

Cosmic Chronometers: the Age-z diagram

Massive and passive galaxies can be used as cosmic chronometers to study the expansion history of the Universe. In particular, by studying their differential aging over different cosmic epochs it is possible to obtain direct measurements of the Hubble parameter, H(z) (Jimenez & Loeb, 2002). These measurements are cosmological-model independent! However, to obtain robust differential age measurements it is crucial to break internal degeneracies between stellar population parameters (e.g. age and chemical content). In my research, I explored how this can be achieved with deep spectroscopic data. In particular, in Borghi et al. 2022b, we obtained a new measurement of H(z) at z~0.7 by using specific spectral features to constrain the differential aging of passive galaxies selected in the LEGA-C survey.


Stellar Populations

Stellar Populations: spectral features

I have always been fascinated by how much we can learn about the stellar populations in galaxies by studying their integrated light spectra, despite all the complications coming from modelling stellar evolution and inherent degeneracies between the astrophysical parameters. In my research, I have taken advantage of the publicly available LEGA-C spectroscopic survey to measure in detail the stellar population properties of individual massive and passive galaxies at z~0.7 (Borghi et al. 2022a). In this process, I contributed to develop pyLick, a Python code to measure spectral features, which I fitted to stellar population models to infer galaxy properties (namely age, metallicity [Z/H], and alpha-enhancements [alpha/Fe]). In Jiao et al. 2023 and Tomasetti et al. 2023 we extended the study by using the full-spectral-fitting tecnique.


Code

Here are some freely available codes and tools, which I have developed for my research.

CHIMERA (Combined Hierarchical Inference Model for Electromagnetic and gRavitational-wave Analysis), is a flexible Python code to analyze standard sirens with galaxy catalogs, allowing for a joint fitting of the cosmological and astrophysical population parameters within a Hierarchical Bayesian Inference framework.

CHIMERA logo

pyLick is Python tool to measure spectral indices from galaxy spectra. Currently, ~80 indices from the near-UV to the near-IR are included. New indices can be easily introduced. The uncertainties are evaluated using the signal-to-noise method proposed by Cardiel et al. (1998). The code also includes useful plotting routines.

PyLick logo

Other public tools

streamlit-gwsens is a small interactive tool for visualizing and comparing gravitational-wave detector sensitivity curves. Built with Streamlit, it is useful for quick exploration and making (nice) plots.

streamlit-gwsens preview

Hz_plotter is a lightweight interactive tool to visualize current and forecast constraints on the expansion history of the Universe. It is intended as a plotting tool for presentations.

Hz_plotter preview



Articles

[Loading myarticles...]

Books / Libri


(italian only, for now...)

Meteoriti storiche. Un metodo per indagare il passato: Il caso Renazzo CR2.

in riga edizioni, Bologna, 2023

Correlation of gravitational wave signal with galaxy catalog

In this book, the authors have conducted in-depth research, both archival and on-site, regarding the meteoric event that occurred two hundred years ago in Renazzo, a small village near Cento (FE) in Emilia-Romagna. Through the analysis of historical documents, the authors have investigated three major mysteries. When did it exactly fall? How much was collected? Where did it exactly fall? Finally, an analysis of the soil stratigraphy at the location indicated by local chronicles shows a significant presence of extraterrestrial microspherules.

The book strands at the crossroads of popular science, illustrating the realm of meteorites and the techniques for their identification, historical research by unveiling the behind-the-scenes of the conducted investigations, and scientific research through the study of micrometeorites. It is therefore aimed at a broad audience, from the casual meteorite enthusiast to the scientific researcher.

Buy (eBook available)

Books / Libri


Meteoriti storiche. Un metodo per indagare il passato: Il caso Renazzo CR2.

in riga edizioni, Bologna, 2023

Correlation of gravitational wave signal with galaxy catalog

In questo libro, gli autori hanno condotto approfondite ricerche, sia di natura archivistica che sul campo, riguardo all'evento meteorico avvenuto duecento anni fa a Renazzo, un piccolo borgo nei pressi di Cento (FE), in Emilia-Romagna. Attraverso un'analisi attenta dei documenti storici gli autori hanno studiato tre grandi enigmi. Quando è caduta esattamente? Quanta ne è stata raccolta? Dov'è caduta esattamente? Infine, si presenta un'analisi delle stratigrafie del suolo nel sito indicato dalle cronache locali che rivela un significativo contenuto di microsfere extraterrestri.

Il libro si colloca al crocevia tra divulgazione, illustrando il mondo delle meteoriti e le tecniche per la loro individuazione, ricerca storica, svelando il dietro le quinte delle indagini condotte, e ricerca scientifica, attraverso lo studio delle micrometeoriti. È quindi rivolto a un pubblico ampio: dal semplice appassionato di meteoriti al ricercatore scientifico.

Compra (eBook disponibile)

Outreach / Conferenze

N'est-il pas agréable d'exercer notre esprit dans la contemplation des grands spectacles de la nature ? N'est-il pas utile de savoir au moins sur quoi nous marchons, quelle place nous occupons dans l'infini, quel est ce soleil dont les rayons bienfaisants entretiennent la vie terrestre, quel est ce ciel qui nous environne, quelles sont ces nombreuses étoiles qui pendant la nuit obscure répandent dans l'espace leur silencieuse lumière?
— Camille Flammarion, Astronomie populaire (1880), Incipit

Museo del Cielo e della Terra, San Giovanni in Persiceto (BO)

Euclid Euclid: the telescope to map the dark Universe
Gravitational waves Listening to Gravitational Waves...
Ladder to the moon The Achievements of Astronomy - Why do we have to invest in Research?
The M87 Black Hole M87's Black Hole and its Photon Ring
Black Hole Accretion Disk Extreme environments in the Universe
Black Hole Illustration Black Holes: at the edge of space-time
A Planetary Nebula The enchanting charm of Interstellar Nebulae
A Gravitational Lens Gravitational lenses: some fancy upshots of General Relativity
An Exoplanet Illustration Almost Twins: searching for life in the Cosmos
The Cosmic Web The Dark Side of the Universe

Astronomy Courses

An Astronaut in the outer Space Astronauts for 4 days: exploration of space, experiments, missiles and meteorites (for primary schools)
Handmade Paintings of Nebulae Astronomers for 4 days: Solar System, telescopes, stars and galaxies with expriments (for primary schools)
An Illustration of the Extremely Large Telescope Astronomical telescopes
An Illustration of a Supernova Stellar evolution

Other events

The Renazzo meteorite Asteroids and Meteorites: Messengers from the Cosmos, 9 May 2024, Salone Del Libro di Torino - Book Fair
The Earth seen from the Moon The Journey to the Moon, 18 July 2019, Palata Pepoli (BO)
Phases of a Partial Lunar Eclipse Lunar Eclipse, 27 July 2018, Palata Pepoli (BO)

Outreach / Conferenze

La scienza è meraviglia.
— Romano Serra

Museo del Cielo e della Terra, San Giovanni in Persiceto (BO)

Euclid Euclid: il telescopio per mappare l'Universo oscuro
Onde Gravitazionali Ascoltando le Onde Gravitazionali...
Scala verso la Luna Le conquiste dell'Astronomia - Perché dobbiamo investire milioni nella ricerca?
Il buco nero di M87 Buco nero di M87: come si è arrivati all'immagine dell'Anello Fotonico
Disco di accrescimento di un buco nero Ambienti estremi nell'Universo
Illustrazione di un buco nero Buchi neri: ai confini dello spazio-tempo
Una nebulosa planetaria L'incantevole fascino delle nebulose interstellari
Una lente gravitazionale Lenti gravitazionali: alcuni simpatici effetti della relatività generale
Un'illustrazione di un esopianeta Gemelli (o quasi) della Terra: alla ricerca della vita nel Cosmo
The Cosmic Web Il Lato Oscuro dell'Universo

Corsi di Astronomia

Astronauta nello spazio Astronauti per 4 Giorni: esplorazione dello Spazio, esperimenti, missili e meteoriti (per scuole primarie)
Disegni di nebulose Astronomi per 4 giorni: Sistema Solare, telescopi, stelle e galassie con esperimenti (per scuole primarie)
Illustrazione dell'Extremely Large Telescope Telescopi astronomici
Illustrazione di una supernova Evoluzione stellare

Altri eventi

The Renazzo meteorite Asteroidi e meteoriti: i messaggeri del cosmo, 9 Maggio 2024, Salone Del Libro di Torino
La Terra vista dalla Luna Viaggio sulla Luna A/R, 18 Luglio 2019, Palata Pepoli (BO)
Fasi di un'eclisse parziale lunare Eclisse Lunare del 27 Luglio 2018, Palata Pepoli (BO)

Elements

Text

This is bold and this is strong. This is italic and this is emphasized. This is superscript text and this is subscript text. This is underlined and this is code: for (;;) { ... }. Finally, this is a link.


Heading Level 2

Heading Level 3

Heading Level 4

Heading Level 5
Heading Level 6

Blockquote

Fringilla nisl. Donec accumsan interdum nisi, quis tincidunt felis sagittis eget tempus euismod. Vestibulum ante ipsum primis in faucibus vestibulum. Blandit adipiscing eu felis iaculis volutpat ac adipiscing accumsan faucibus. Vestibulum ante ipsum primis in faucibus lorem ipsum dolor sit amet nullam adipiscing eu felis.

Preformatted

i = 0;
	
	while (!deck.isInOrder()) {
		print 'Iteration ' + i;
		deck.shuffle();
		i++;
	}
	
	print 'It took ' + i + ' iterations to sort the deck.';

Lists

Unordered

  • Dolor pulvinar etiam.
  • Sagittis adipiscing.
  • Felis enim feugiat.

Alternate

  • Dolor pulvinar etiam.
  • Sagittis adipiscing.
  • Felis enim feugiat.

Ordered

  1. Dolor pulvinar etiam.
  2. Etiam vel felis viverra.
  3. Felis enim feugiat.
  4. Dolor pulvinar etiam.
  5. Etiam vel felis lorem.
  6. Felis enim et feugiat.

Icons

Actions

Table

Default

Name Description Price
Item One Ante turpis integer aliquet porttitor. 29.99
Item Two Vis ac commodo adipiscing arcu aliquet. 19.99
Item Three Morbi faucibus arcu accumsan lorem. 29.99
Item Four Vitae integer tempus condimentum. 19.99
Item Five Ante turpis integer aliquet porttitor. 29.99
100.00

Alternate

Name Description Price
Item One Ante turpis integer aliquet porttitor. 29.99
Item Two Vis ac commodo adipiscing arcu aliquet. 19.99
Item Three Morbi faucibus arcu accumsan lorem. 29.99
Item Four Vitae integer tempus condimentum. 19.99
Item Five Ante turpis integer aliquet porttitor. 29.99
100.00

Buttons

  • Disabled
  • Disabled

Form